Some academic projects I've done so far on my university journey. Enjoy!

scroll for my projects 👇

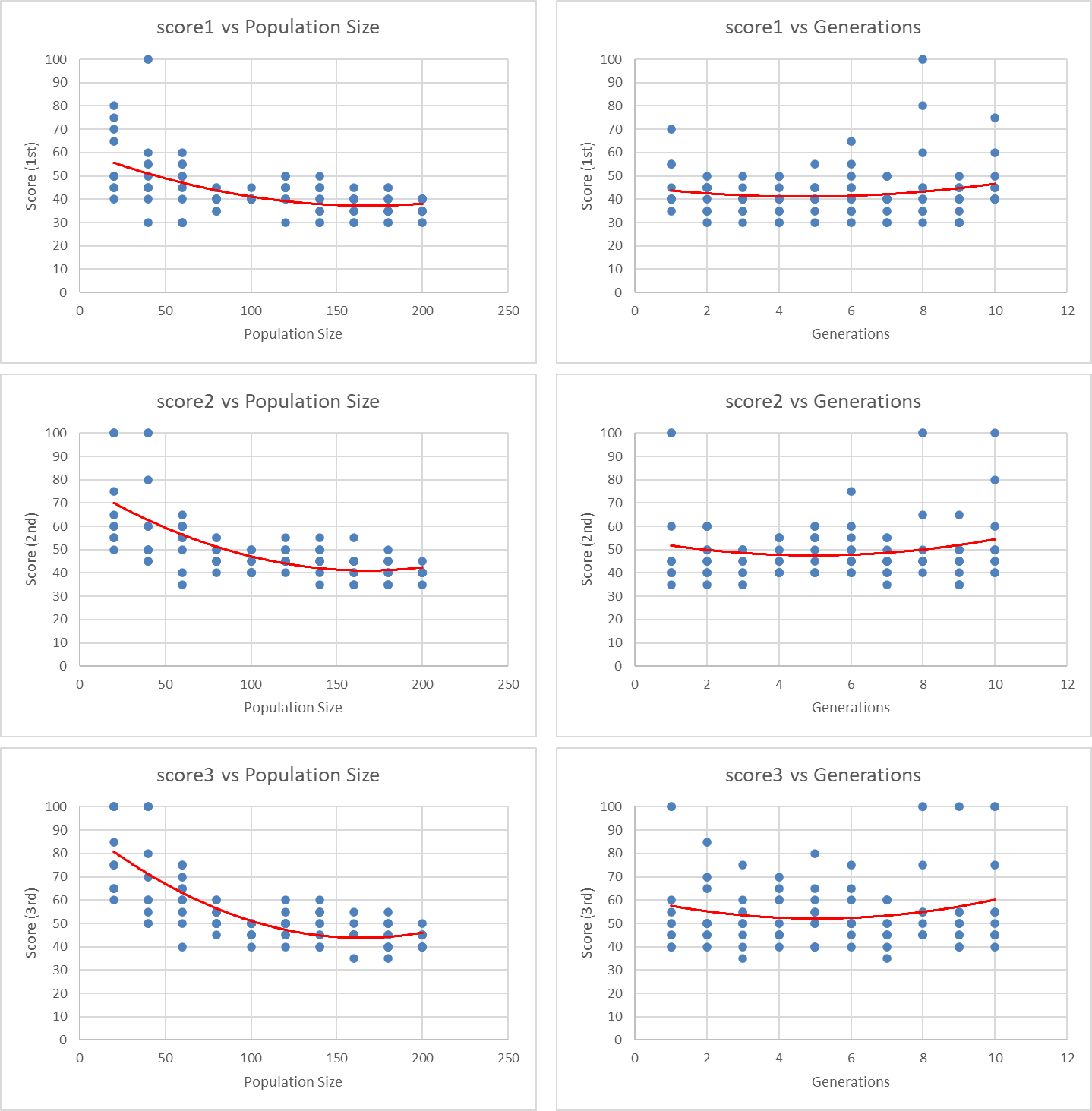
STARSHIP Planner: A course planner for NTU students with in-built automated timetable scheduling algorithm

for the Final Year Project in Information Engineering and Media
Canva, Python, React, JavaScript, Google Cloud Firebase, Vercel • 2025 • 9 months • Individual Project
Explore the deployed web application here. Read the final report here.
Wireframe & Design Planning using Canva & Figma
Algorithm Design & Implementation using JavaScript
Web Scraping & Database Initialisation using Python & Google Cloud Firebase
Full-Stack Webapp Implementation & Design using React & JavaScript

JamStream: A Spotify-based music streaming app with social features incorporated with the Spotify API

for the IM3180: Design & Innovation Project module
Figma, JavaScript, Android Studio, React Native, Expo • 2023 • 13 weeks • Team of 10 Members

Beng's Beehoon: A user-centric e-ordering web application with real-time restaurant database integration

for the IM2073: Introduction to Design & Project module
HTML, CSS, SQL, Tomcat • 2023 • 5 weeks • Team of 2 Members

The Gunderwald: A 3D adventure platformer with a unique theme, level progression and a collectible system

for the IM2073: Introduction to Design & Project module
Unity 3D, C++ • 2023 • 4 weeks • Team of 2 Members
To be updated soon! Check back later :)

Shopee Connect: An improved Shopee Mall with new community-centric features based on extensive user research

for the Shopee Project & Design Challenge 2022
Canva • 2022 • 4 weeks • Team of 3 Members

Cardiovascular Prediction: A data analysis project involving data cleaning, visualisation and machine learning models

for the IE1005: Introduction to Data Science & Artificial Intelligence module
Python, Jupyter Notebook, Excel, Machine Learning Models • 2022 • 6 weeks • Team of 4 Members